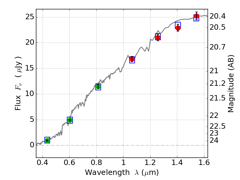
RXC0032+18 IR detection object #803

Color images and BPZ results
Catalog: 803.cat
Black segments are analyzed here.   Roll mouse over color images to view segments.
Best viewed in a wide browser window (1200 pixels or more).   Download SED & P(z) plots to view larger versions.
In P(z) plots: Yellow lines mark the cluster redshift z = 0.396,  

Object #803   x,y = (1791, 2051)   RA, Dec = (00:32:14.232, 18:07:25.68) = (8.05930, 18.12380)   BPZ = 0.367 [0.277--0.405]   type = 3.60 (Ell4_A_0 - Ell5_A_0)   stellarity = 0.03   chisq2 = 0.04   ODDS = 0.86   z_cluster = 0.396