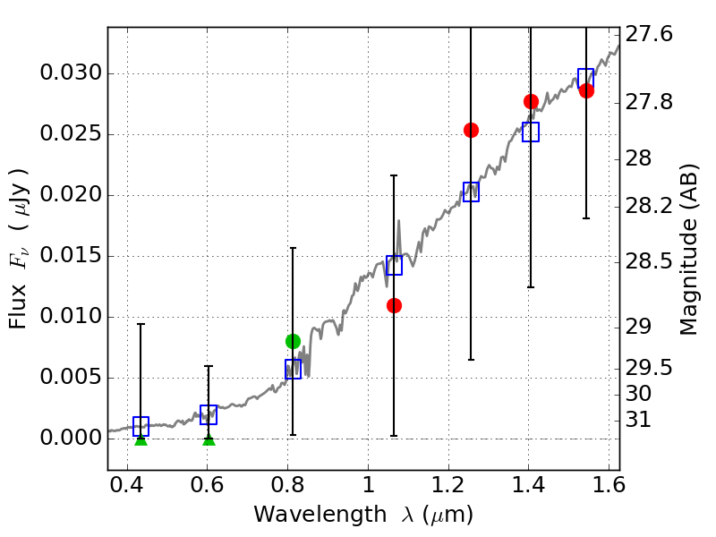
RXC0032+18 IR detection object #1112

Color images and BPZ results
Catalog: 1112.cat
Black segments are analyzed here.   Roll mouse over color images to view segments.
Best viewed in a wide browser window (1200 pixels or more).   Download SED & P(z) plots to view larger versions.
In P(z) plots: Yellow lines mark the cluster redshift z = 0.396,  

Object #1112   x,y = (3041, 1492)   RA, Dec = (00:32:08.976, 18:06:52.20) = (8.03740, 18.11450)   BPZ = 1.150 [0.443--7.966]   type = 6.00 (Sbc_B10)   stellarity = 0.00   chisq2 = 0.10   ODDS = 0.08   z_cluster = 0.396