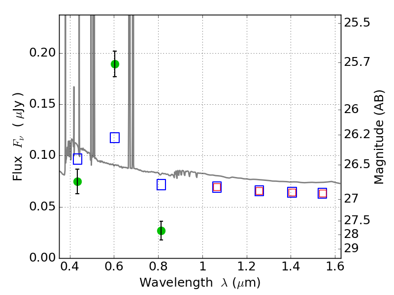
RXC0032+18 ACS+IR detection object #529

Color images and BPZ results
Catalog: 529.cat
Black segments are analyzed here.   Roll mouse over color images to view segments.
Best viewed in a wide browser window (1200 pixels or more).   Download SED & P(z) plots to view larger versions.
In P(z) plots: Yellow lines mark the cluster redshift z = 0.396,  

Object #529   x,y = (3099, 4088)   RA, Dec = (00:32:08.736, 18:09:28.08) = (8.03640, 18.15780)   BPZ = 0.020 [0.010--0.046]   type = 11.00 (SB11_A_0_l)   chisq2 = 40.56   ODDS = 1.00   z_cluster = 0.396