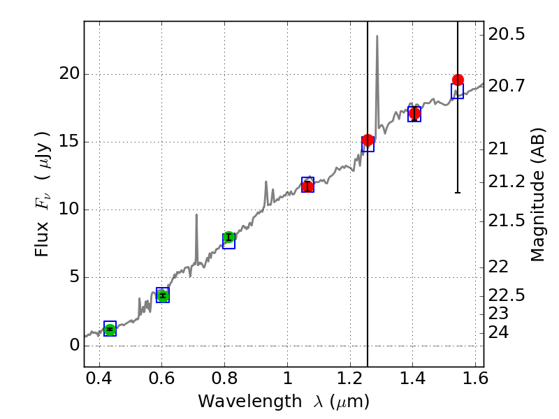
RXC0032+18 ACS+IR detection object #4737

Color images and BPZ results
Catalog: 4737.cat
Black segments are analyzed here.   Roll mouse over color images to view segments.
Best viewed in a wide browser window (1200 pixels or more).   Download SED & P(z) plots to view larger versions.
In P(z) plots: Yellow lines mark the cluster redshift z = 0.396,  

Object #4737   x,y = (3044, 1368)   RA, Dec = (00:32:08.976, 18:06:45.00) = (8.03740, 18.11250)   BPZ = 0.425 [0.296--0.498]   type = 6.30 (Sbc_B10 - Scd_B10)   chisq2 = 0.02   ODDS = 0.69   z_cluster = 0.396