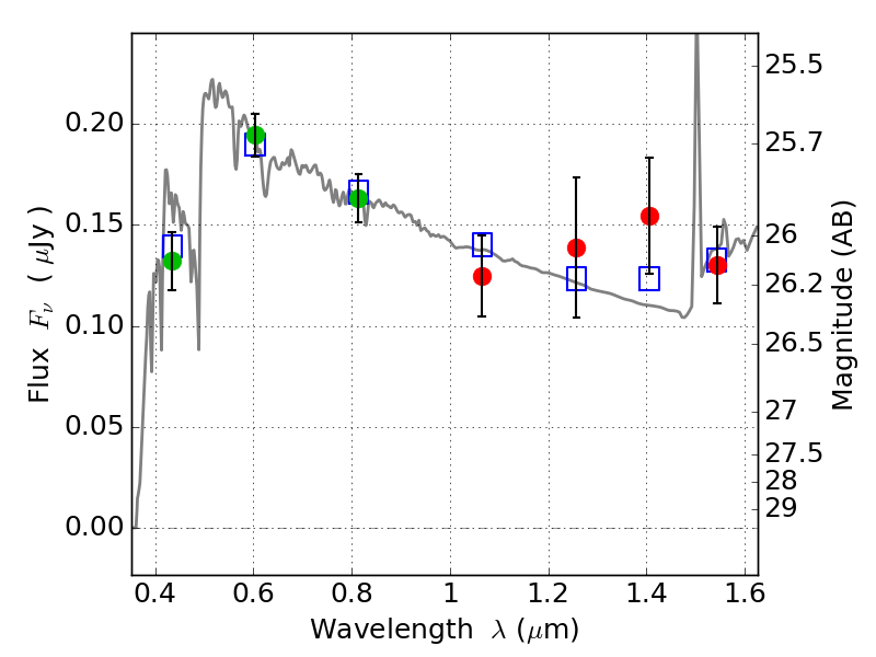
RXC0032+18 ACS+IR detection object #4572

Color images and BPZ results
Catalog: 4572.cat
Black segments are analyzed here.   Roll mouse over color images to view segments.
Best viewed in a wide browser window (1200 pixels or more).   Download SED & P(z) plots to view larger versions.
In P(z) plots: Yellow lines mark the cluster redshift z = 0.396,  

Object #4572   x,y = (3724, 1528)   RA, Dec = (00:32:06.096, 18:06:54.36) = (8.02540, 18.11510)   BPZ = 3.035 [0.341--3.246]   type = 10.70 (SB11_A_0_l - SB3_B10)   chisq2 = 0.46   ODDS = 0.79   z_cluster = 0.396