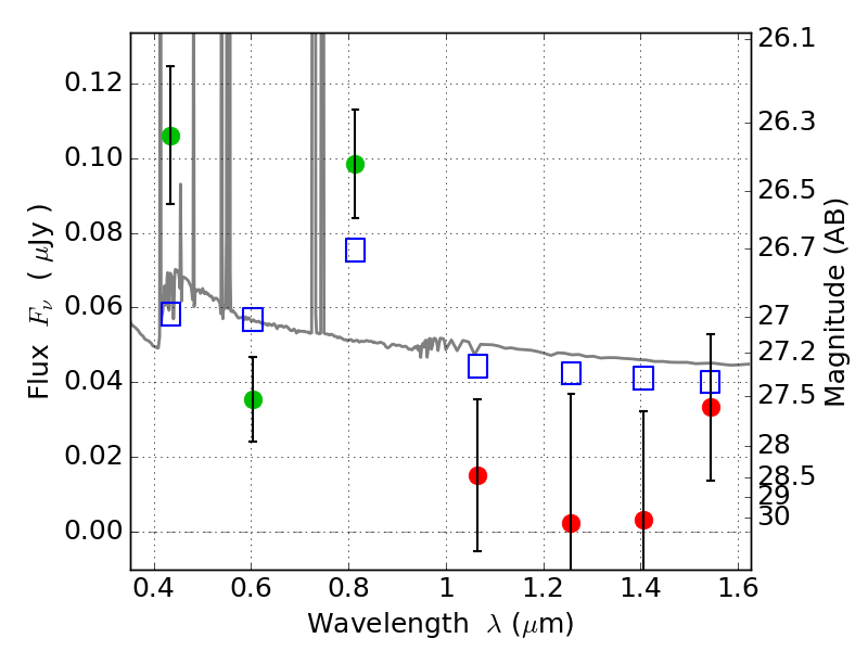
RXC0032+18 ACS+IR detection object #4465

Color images and BPZ results
Catalog: 4465.cat
Black segments are analyzed here.   Roll mouse over color images to view segments.
Best viewed in a wide browser window (1200 pixels or more).   Download SED & P(z) plots to view larger versions.
In P(z) plots: Yellow lines mark the cluster redshift z = 0.396,  

Object #4465   x,y = (2797, 1592)   RA, Dec = (00:32:10.008, 18:06:58.32) = (8.04170, 18.11620)   BPZ = 0.112 [0.084--2.494]   type = 11.00 (SB11_A_0_l)   chisq2 = 4.12   ODDS = 0.44   z_cluster = 0.396