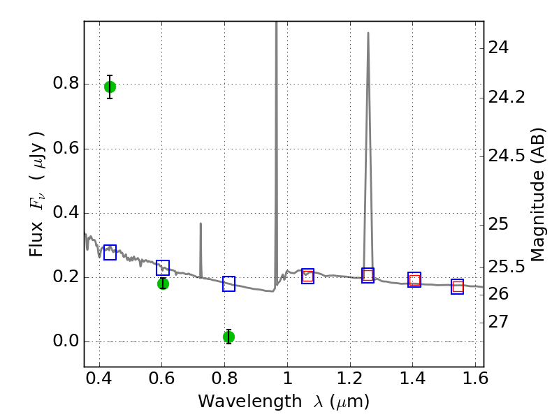
RXC0032+18 ACS+IR detection object #4081

Color images and BPZ results
Catalog: 4081.cat
Black segments are analyzed here.   Roll mouse over color images to view segments.
Best viewed in a wide browser window (1200 pixels or more).   Download SED & P(z) plots to view larger versions.
In P(z) plots: Yellow lines mark the cluster redshift z = 0.396,  

Object #4081   x,y = (4151, 1850)   RA, Dec = (00:32:04.320, 18:07:13.80) = (8.01800, 18.12050)   BPZ = 1.592 [1.422--2.094]   type = 11.00 (SB11_A_0_l)   chisq2 = 199.00   ODDS = 0.61   z_cluster = 0.396