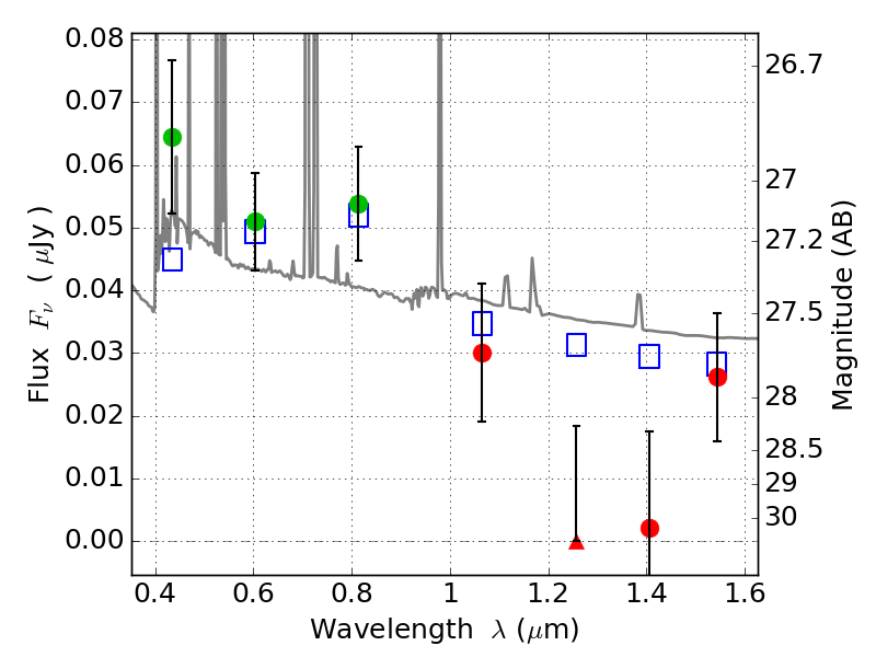
RXC0032+18 ACS+IR detection object #3851

Color images and BPZ results
Catalog: 3851.cat
Black segments are analyzed here.   Roll mouse over color images to view segments.
Best viewed in a wide browser window (1200 pixels or more).   Download SED & P(z) plots to view larger versions.
In P(z) plots: Yellow lines mark the cluster redshift z = 0.396,  

Object #3851   x,y = (2253, 1995)   RA, Dec = (00:32:12.288, 18:07:22.44) = (8.05120, 18.12290)   BPZ = 0.078 [0.048--3.078]   type = 10.80 (SB11_A_0_l - SB3_B10)   chisq2 = 2.12   ODDS = 0.19   z_cluster = 0.396