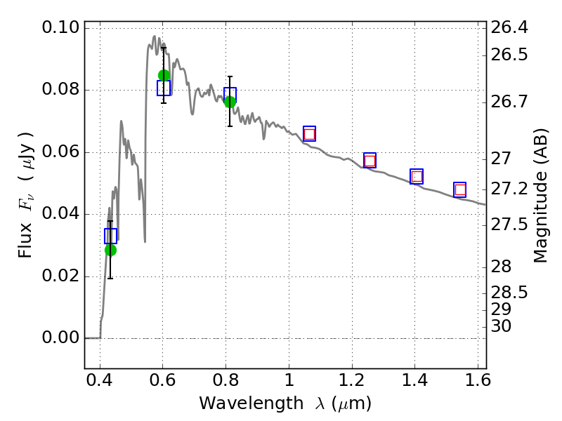
RXC0032+18 ACS+IR detection object #345

Color images and BPZ results
Catalog: 345.cat
Black segments are analyzed here.   Roll mouse over color images to view segments.
Best viewed in a wide browser window (1200 pixels or more).   Download SED & P(z) plots to view larger versions.
In P(z) plots: Yellow lines mark the cluster redshift z = 0.396,  

Object #345   x,y = (2782, 4396)   RA, Dec = (00:32:10.080, 18:09:46.44) = (8.04200, 18.16290)   BPZ = 3.478 [0.245--3.701]   type = 11.00 (SB11_A_0_l)   chisq2 = 0.38   ODDS = 0.43   z_cluster = 0.396