RXC0032+18 ACS+IR detection object #3202

Color images and BPZ results
Catalog: 3202.cat
Black segments are analyzed here.   Roll mouse over color images to view segments.
Best viewed in a wide browser window (1200 pixels or more).   Download SED & P(z) plots to view larger versions.
In P(z) plots: Yellow lines mark the cluster redshift z = 0.396,  

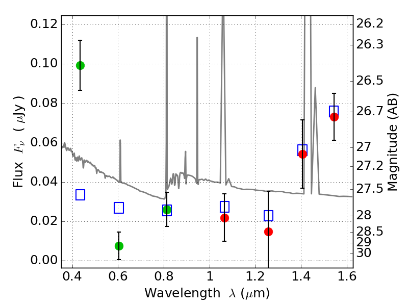
Object #3202   x,y = (2157, 2374)   RA, Dec = (00:32:12.696, 18:07:45.12) = (8.05290, 18.12920)   BPZ = 1.176 [1.143--2.281]   type = 11.00 (SB11_A_0_l)   chisq2 = 7.16   ODDS = 0.43   z_cluster = 0.396