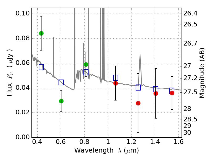
RXC0032+18 ACS+IR detection object #3059

Color images and BPZ results
Catalog: 3059.cat
Black segments are analyzed here.   Roll mouse over color images to view segments.
Best viewed in a wide browser window (1200 pixels or more).   Download SED & P(z) plots to view larger versions.
In P(z) plots: Yellow lines mark the cluster redshift z = 0.396,  

Object #3059   x,y = (2669, 2449)   RA, Dec = (00:32:10.560, 18:07:49.80) = (8.04400, 18.13050)   BPZ = 0.928 [0.142--2.537]   type = 11.00 (SB11_A_0_l)   chisq2 = 1.76   ODDS = 0.24   z_cluster = 0.396