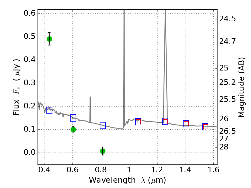
RXC0032+18 ACS+IR detection object #2850

Color images and BPZ results
Catalog: 2850.cat
Black segments are analyzed here.   Roll mouse over color images to view segments.
Best viewed in a wide browser window (1200 pixels or more).   Download SED & P(z) plots to view larger versions.
In P(z) plots: Yellow lines mark the cluster redshift z = 0.396,  

Object #2850   x,y = (4565, 2537)   RA, Dec = (00:32:02.568, 18:07:54.84) = (8.01070, 18.13190)   BPZ = 1.592 [1.367--2.142]   type = 11.00 (SB11_A_0_l)   chisq2 = 141.80   ODDS = 0.46   z_cluster = 0.396