RXC0032+18 ACS+IR detection object #2830

Color images and BPZ results
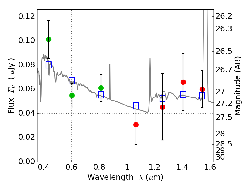
Catalog: 2830.cat
Black segments are analyzed here.   Roll mouse over color images to view segments.
Best viewed in a wide browser window (1200 pixels or more).   Download SED & P(z) plots to view larger versions.
In P(z) plots: Yellow lines mark the cluster redshift z = 0.396,  

Object #2830   x,y = (2930, 2546)   RA, Dec = (00:32:09.456, 18:07:55.56) = (8.03940, 18.13210)   BPZ = 2.135 [0.865--2.646]   type = 10.80 (SB11_A_0_l - SB3_B10)   chisq2 = 1.06   ODDS = 0.31   z_cluster = 0.396