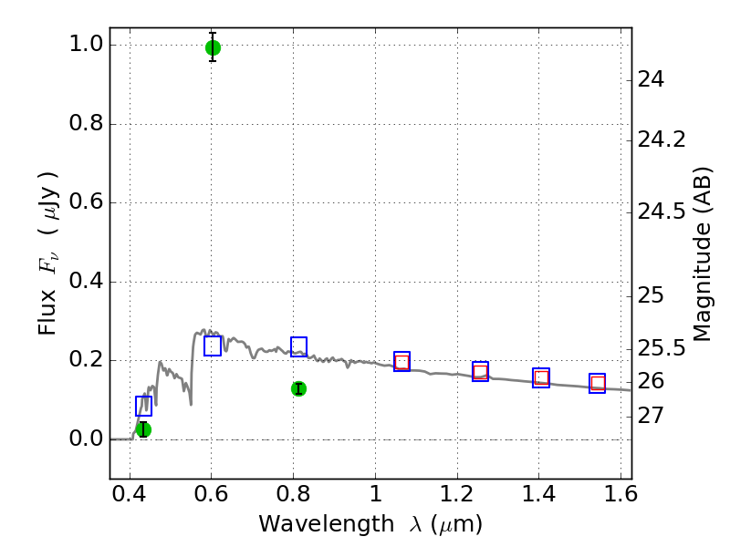
RXC0032+18 ACS+IR detection object #2778

Color images and BPZ results
Catalog: 2778.cat
Black segments are analyzed here.   Roll mouse over color images to view segments.
Best viewed in a wide browser window (1200 pixels or more).   Download SED & P(z) plots to view larger versions.
In P(z) plots: Yellow lines mark the cluster redshift z = 0.396,  

Object #2778   x,y = (531, 2558)   RA, Dec = (00:32:19.536, 18:07:56.28) = (8.08140, 18.13230)   BPZ = 3.538 [3.360--3.634]   type = 11.00 (SB11_A_0_l)   chisq2 = 420.40   ODDS = 0.98   z_cluster = 0.396