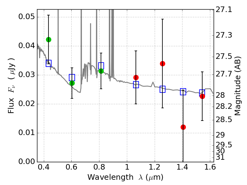
RXC0032+18 ACS+IR detection object #2594

Color images and BPZ results
Catalog: 2594.cat
Black segments are analyzed here.   Roll mouse over color images to view segments.
Best viewed in a wide browser window (1200 pixels or more).   Download SED & P(z) plots to view larger versions.
In P(z) plots: Yellow lines mark the cluster redshift z = 0.396,  

Object #2594   x,y = (3114, 2669)   RA, Dec = (00:32:08.664, 18:08:02.76) = (8.03610, 18.13410)   BPZ = 0.798 [0.190--2.846]   type = 11.00 (SB11_A_0_l)   chisq2 = 0.59   ODDS = 0.08   z_cluster = 0.396