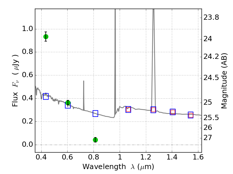
RXC0032+18 ACS+IR detection object #2533

Color images and BPZ results
Catalog: 2533.cat
Black segments are analyzed here.   Roll mouse over color images to view segments.
Best viewed in a wide browser window (1200 pixels or more).   Download SED & P(z) plots to view larger versions.
In P(z) plots: Yellow lines mark the cluster redshift z = 0.396,  

Object #2533   x,y = (4663, 2692)   RA, Dec = (00:32:02.160, 18:08:04.20) = (8.00900, 18.13450)   BPZ = 1.593 [1.517--1.956]   type = 11.00 (SB11_A_0_l)   chisq2 = 157.90   ODDS = 0.82   z_cluster = 0.396