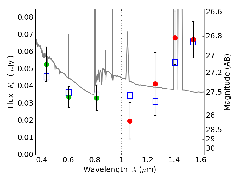
RXC0032+18 ACS+IR detection object #2248

Color images and BPZ results
Catalog: 2248.cat
Black segments are analyzed here.   Roll mouse over color images to view segments.
Best viewed in a wide browser window (1200 pixels or more).   Download SED & P(z) plots to view larger versions.
In P(z) plots: Yellow lines mark the cluster redshift z = 0.396,  

Object #2248   x,y = (1869, 2816)   RA, Dec = (00:32:13.920, 18:08:11.76) = (8.05800, 18.13660)   BPZ = 1.149 [1.136--2.634]   type = 11.00 (SB11_A_0_l)   chisq2 = 0.84   ODDS = 0.14   z_cluster = 0.396