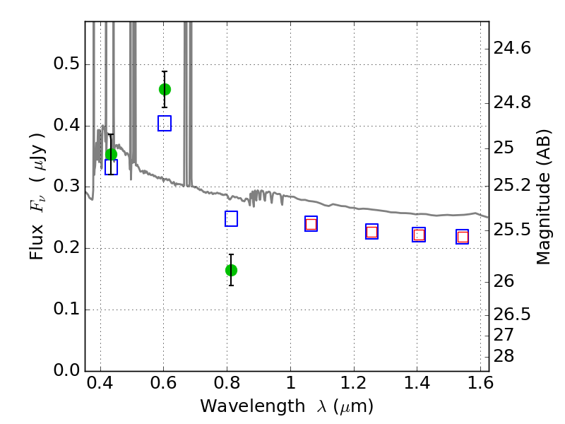
RXC0032+18 ACS+IR detection object #2241

Color images and BPZ results
Catalog: 2241.cat
Black segments are analyzed here.   Roll mouse over color images to view segments.
Best viewed in a wide browser window (1200 pixels or more).   Download SED & P(z) plots to view larger versions.
In P(z) plots: Yellow lines mark the cluster redshift z = 0.396,  

Object #2241   x,y = (4624, 2789)   RA, Dec = (00:32:02.328, 18:08:09.96) = (8.00970, 18.13610)   BPZ = 0.023 [0.010--0.051]   type = 11.00 (SB11_A_0_l)   chisq2 = 7.41   ODDS = 0.99   z_cluster = 0.396