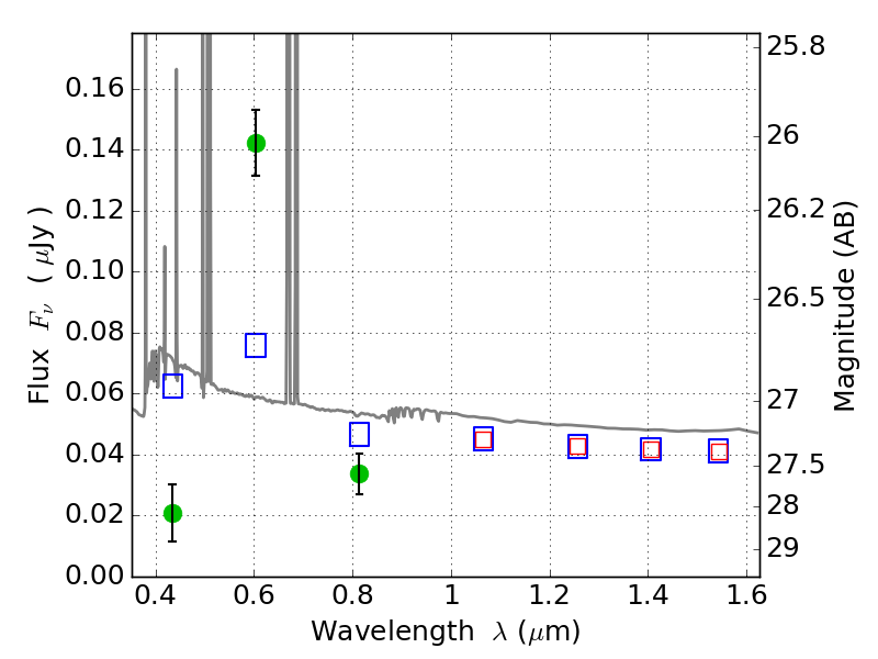
RXC0032+18 ACS+IR detection object #2124

Color images and BPZ results
Catalog: 2124.cat
Black segments are analyzed here.   Roll mouse over color images to view segments.
Best viewed in a wide browser window (1200 pixels or more).   Download SED & P(z) plots to view larger versions.
In P(z) plots: Yellow lines mark the cluster redshift z = 0.396,  

Object #2124   x,y = (746, 2874)   RA, Dec = (00:32:18.648, 18:08:15.36) = (8.07770, 18.13760)   BPZ = 0.023 [0.012--3.512]   type = 11.00 (SB11_A_0_l)   chisq2 = 48.53   ODDS = 0.35   z_cluster = 0.396