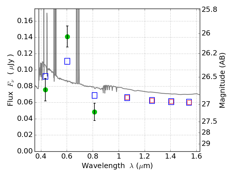
RXC0032+18 ACS+IR detection object #2113

Color images and BPZ results
Catalog: 2113.cat
Black segments are analyzed here.   Roll mouse over color images to view segments.
Best viewed in a wide browser window (1200 pixels or more).   Download SED & P(z) plots to view larger versions.
In P(z) plots: Yellow lines mark the cluster redshift z = 0.396,  

Object #2113   x,y = (4510, 2871)   RA, Dec = (00:32:02.808, 18:08:15.00) = (8.01170, 18.13750)   BPZ = 0.027 [0.012--3.021]   type = 11.00 (SB11_A_0_l)   chisq2 = 7.74   ODDS = 0.52   z_cluster = 0.396