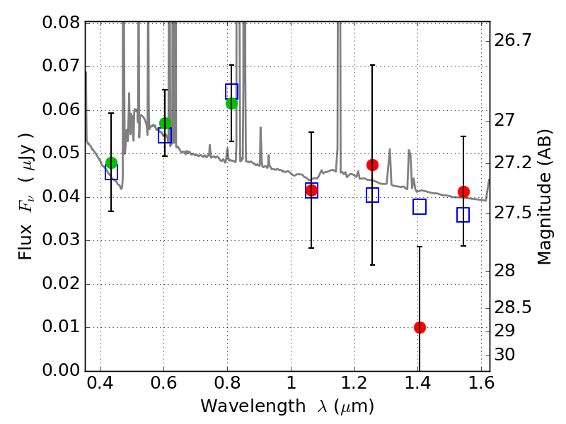
RXC0032+18 ACS+IR detection object #1231

Color images and BPZ results
Catalog: 1231.cat
Black segments are analyzed here.   Roll mouse over color images to view segments.
Best viewed in a wide browser window (1200 pixels or more).   Download SED & P(z) plots to view larger versions.
In P(z) plots: Yellow lines mark the cluster redshift z = 0.396,  

Object #1231   x,y = (2913, 3443)   RA, Dec = (00:32:09.528, 18:08:49.20) = (8.03970, 18.14700)   BPZ = 0.273 [0.079--3.327]   type = 10.80 (SB11_A_0_l - SB3_B10)   chisq2 = 0.64   ODDS = 0.20   z_cluster = 0.396