RXC0018+16 ACS+IR detection object #6200

Color images and BPZ results
Catalog: 6200.cat
Black segments are analyzed here.   Roll mouse over color images to view segments.
Best viewed in a wide browser window (1200 pixels or more).   Download SED & P(z) plots to view larger versions.
In P(z) plots: Yellow lines mark the cluster redshift z = 0.546,  

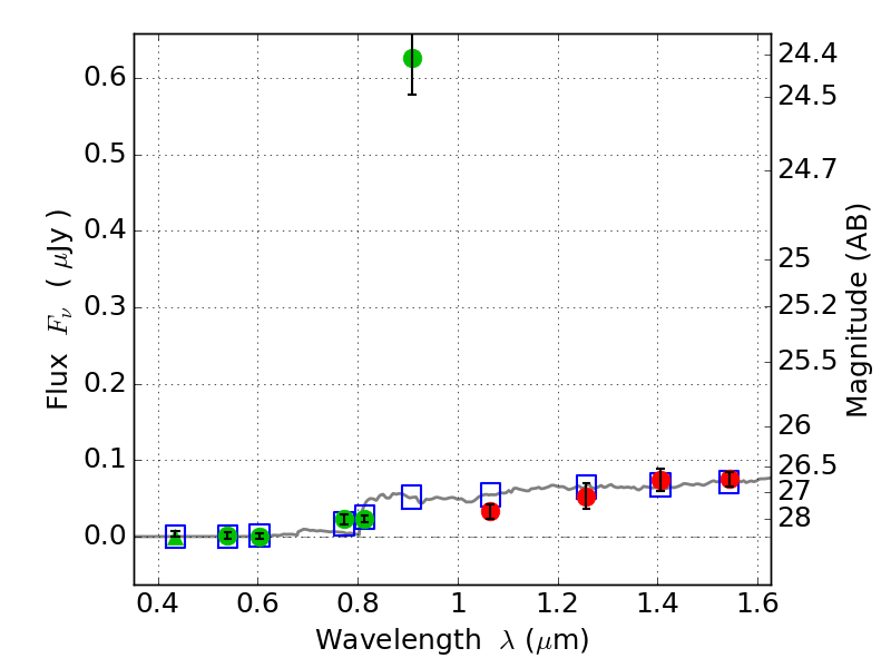
Object #6200   x,y = (3360, 3789)   RA, Dec = (00:18:35.808, 16:26:23.64) = (4.64920, 16.43990)   BPZ = 5.617 [0.766--5.853]   type = 8.00 (SB1_B10)   stellarity = 0.56   chisq2 = 20.28   ODDS = 0.84   z_cluster = 0.546