RXC0018+16 ACS+IR detection object #617

Color images and BPZ results
Catalog: 617.cat
Black segments are analyzed here.   Roll mouse over color images to view segments.
Best viewed in a wide browser window (1200 pixels or more).   Download SED & P(z) plots to view larger versions.
In P(z) plots: Yellow lines mark the cluster redshift z = 0.546,  

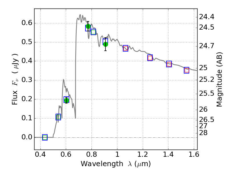
Object #617   x,y = (5336, 1082)   RA, Dec = (00:18:27.552, 16:23:41.28) = (4.61480, 16.39480)   BPZ = 4.554 [4.424--4.642]   type = 11.00 (SB11_A_0_l)   stellarity = 0.12   chisq2 = 0.11   ODDS = 1.00   z_cluster = 0.546