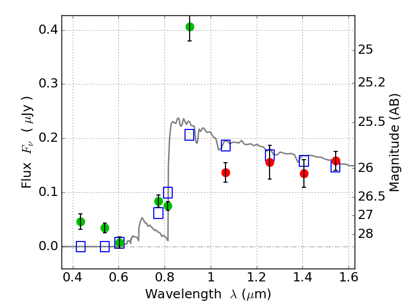
RXC0018+16 ACS+IR detection object #5949

Color images and BPZ results
Catalog: 5949.cat
Black segments are analyzed here.   Roll mouse over color images to view segments.
Best viewed in a wide browser window (1200 pixels or more).   Download SED & P(z) plots to view larger versions.
In P(z) plots: Yellow lines mark the cluster redshift z = 0.546,  

Object #5949   x,y = (4526, 3884)   RA, Dec = (00:18:30.936, 16:26:29.40) = (4.62890, 16.44150)   BPZ = 5.707 [5.585--5.800]   type = 11.00 (SB11_A_0_l)   stellarity = 0.66   chisq2 = 9.06   ODDS = 1.00   z_cluster = 0.546