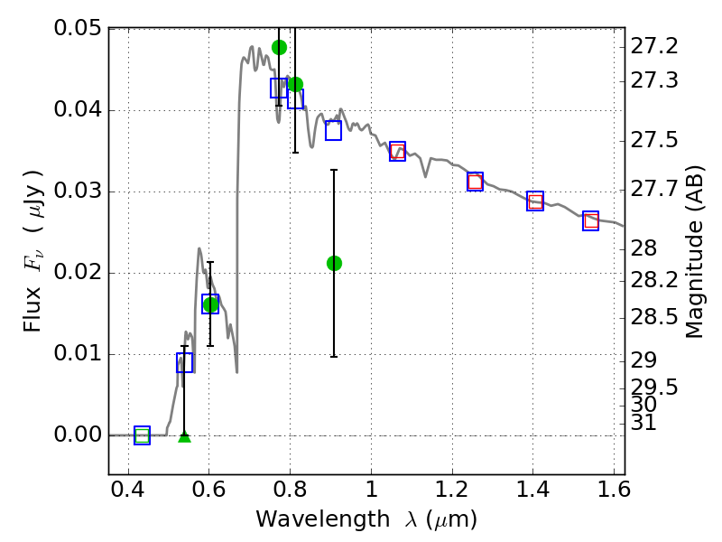
RXC0018+16 ACS+IR detection object #2849

Color images and BPZ results
Catalog: 2849.cat
Black segments are analyzed here.   Roll mouse over color images to view segments.
Best viewed in a wide browser window (1200 pixels or more).   Download SED & P(z) plots to view larger versions.
In P(z) plots: Yellow lines mark the cluster redshift z = 0.546,  

Object #2849   x,y = (3194, 2018)   RA, Dec = (00:18:36.480, 16:24:37.44) = (4.65200, 16.41040)   BPZ = 4.509 [0.425--4.826]   type = 11.00 (SB11_A_0_l)   stellarity = 0.36   chisq2 = 1.49   ODDS = 0.44   z_cluster = 0.546