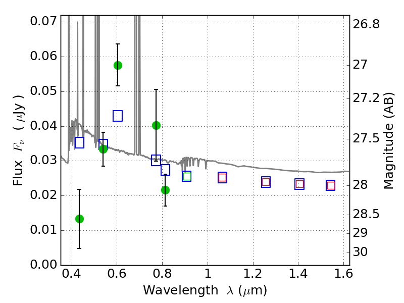
RXC0018+16 ACS+IR detection object #2815

Color images and BPZ results
Catalog: 2815.cat
Black segments are analyzed here.   Roll mouse over color images to view segments.
Best viewed in a wide browser window (1200 pixels or more).   Download SED & P(z) plots to view larger versions.
In P(z) plots: Yellow lines mark the cluster redshift z = 0.546,  

Object #2815   x,y = (4413, 2003)   RA, Dec = (00:18:31.416, 16:24:36.36) = (4.63090, 16.41010)   BPZ = 0.039 [0.027--3.529]   type = 11.00 (SB11_A_0_l)   stellarity = 0.36   chisq2 = 6.47   ODDS = 0.09   z_cluster = 0.546