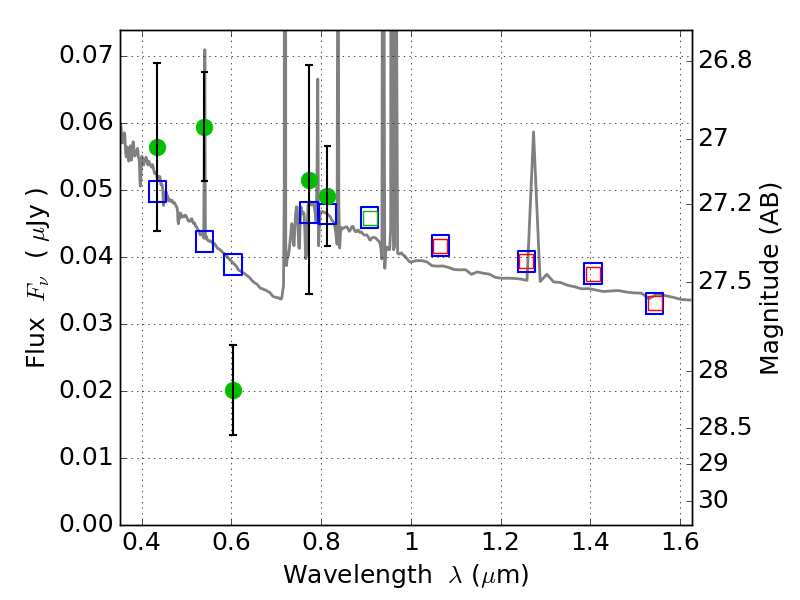
RXC0018+16 ACS+IR detection object #13963

Color images and BPZ results
Catalog: 13963.cat
Black segments are analyzed here.   Roll mouse over color images to view segments.
Best viewed in a wide browser window (1200 pixels or more).   Download SED & P(z) plots to view larger versions.
In P(z) plots: Yellow lines mark the cluster redshift z = 0.546,  

Object #13963   x,y = (3469, 4616)   RA, Dec = (00:18:35.352, 16:27:13.32) = (4.64730, 16.45370)   BPZ = 0.931 [0.140--2.595]   type = 11.00 (SB11_A_0_l)   stellarity = 0.35   chisq2 = 5.24   ODDS = 0.20   z_cluster = 0.546