RXC0018+16 ACS+IR detection object #13627

Color images and BPZ results
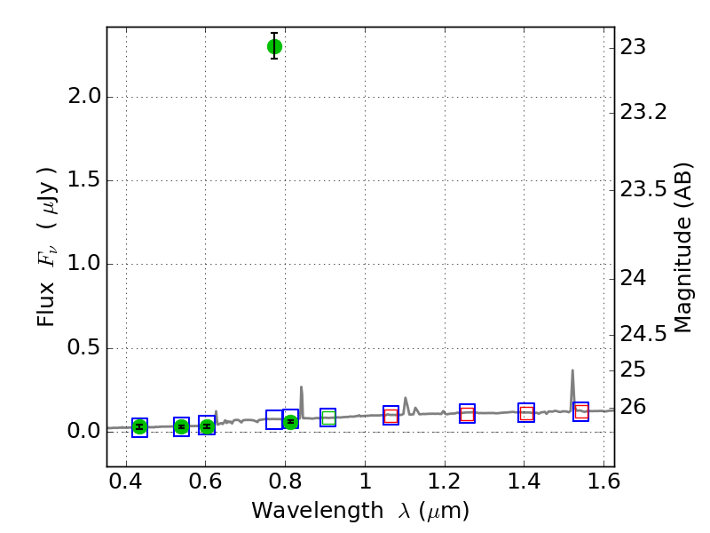
Catalog: 13627.cat
Black segments are analyzed here.   Roll mouse over color images to view segments.
Best viewed in a wide browser window (1200 pixels or more).   Download SED & P(z) plots to view larger versions.
In P(z) plots: Yellow lines mark the cluster redshift z = 0.546,  

Object #13627   x,y = (5551, 4835)   RA, Dec = (00:18:26.664, 16:27:26.28) = (4.61110, 16.45730)   BPZ = 0.676 [0.354--4.215]   type = 8.20 (SB1_B10 - SB2_B10)   stellarity = 0.78   chisq2 = 413.40   ODDS = 0.30   z_cluster = 0.546