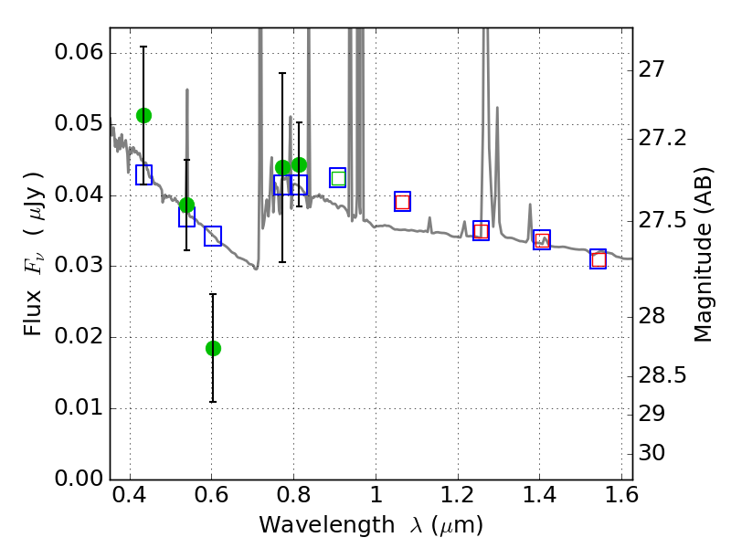
RXC0018+16 ACS+IR detection object #13587

Color images and BPZ results
Catalog: 13587.cat
Black segments are analyzed here.   Roll mouse over color images to view segments.
Best viewed in a wide browser window (1200 pixels or more).   Download SED & P(z) plots to view larger versions.
In P(z) plots: Yellow lines mark the cluster redshift z = 0.546,  

Object #13587   x,y = (2939, 4749)   RA, Dec = (00:18:37.560, 16:27:21.24) = (4.65650, 16.45590)   BPZ = 0.928 [0.224--2.481]   type = 10.80 (SB11_A_0_l - SB3_B10)   stellarity = 0.36   chisq2 = 2.35   ODDS = 0.19   z_cluster = 0.546