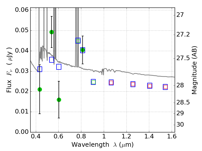
RXC0018+16 ACS+IR detection object #13488

Color images and BPZ results
Catalog: 13488.cat
Black segments are analyzed here.   Roll mouse over color images to view segments.
Best viewed in a wide browser window (1200 pixels or more).   Download SED & P(z) plots to view larger versions.
In P(z) plots: Yellow lines mark the cluster redshift z = 0.546,  

Object #13488   x,y = (5748, 4853)   RA, Dec = (00:18:25.848, 16:27:27.36) = (4.60770, 16.45760)   BPZ = 0.154 [0.137--3.689]   type = 11.00 (SB11_A_0_l)   stellarity = 0.35   chisq2 = 6.26   ODDS = 0.04   z_cluster = 0.546