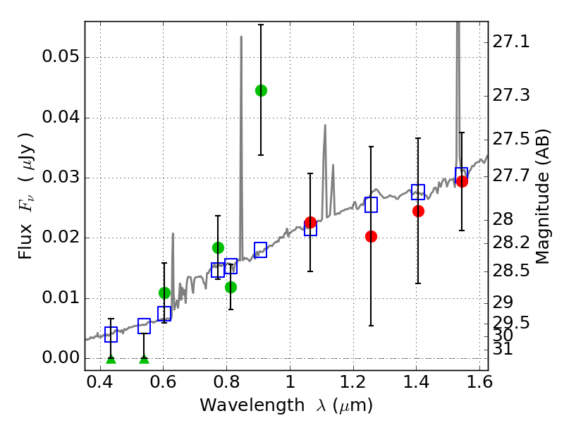
RXC0018+16 IR detection object #728

Color images and BPZ results
Catalog: 728.cat
Black segments are analyzed here.   Roll mouse over color images to view segments.
Best viewed in a wide browser window (1200 pixels or more).   Download SED & P(z) plots to view larger versions.
In P(z) plots: Yellow lines mark the cluster redshift z = 0.546,  

Object #728   x,y = (3697, 3410)   RA, Dec = (00:18:34.392, 16:26:00.96) = (4.64330, 16.43360)   BPZ = 0.690 [0.346--5.592]   type = 7.50 (SB1_B10 - Scd_B10)   stellarity = 0.23   chisq2 = 1.32   ODDS = 0.09   z_cluster = 0.546