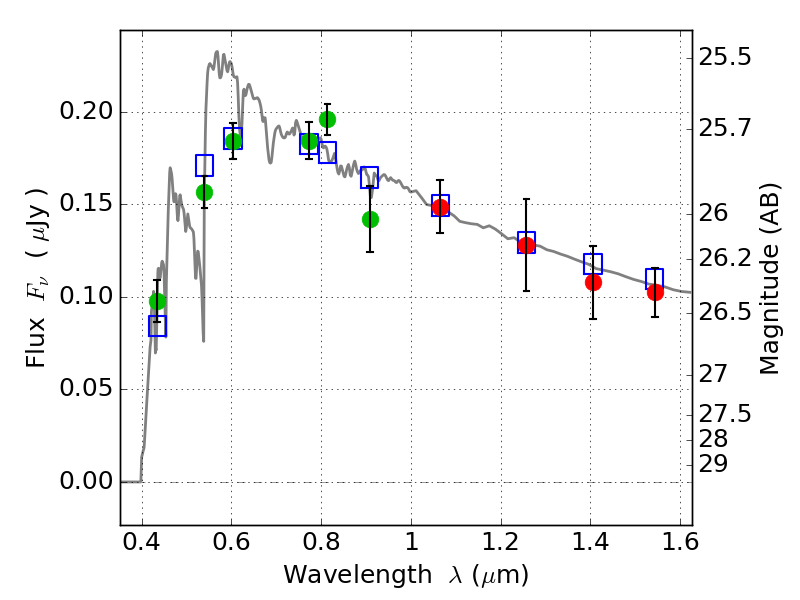
RXC0018+16 IR detection object #708

Color images and BPZ results
Catalog: 708.cat
Black segments are analyzed here.   Roll mouse over color images to view segments.
Best viewed in a wide browser window (1200 pixels or more).   Download SED & P(z) plots to view larger versions.
In P(z) plots: Yellow lines mark the cluster redshift z = 0.546,  

Object #708   x,y = (3961, 3438)   RA, Dec = (00:18:33.288, 16:26:02.76) = (4.63870, 16.43410)   BPZ = 3.427 [0.253--3.537]   type = 11.00 (SB11_A_0_l)   stellarity = 0.77   chisq2 = 0.63   ODDS = 0.97   z_cluster = 0.546