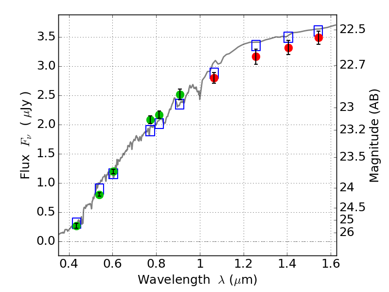
RXC0018+16 IR detection object #693

Color images and BPZ results
Catalog: 693.cat
Black segments are analyzed here.   Roll mouse over color images to view segments.
Best viewed in a wide browser window (1200 pixels or more).   Download SED & P(z) plots to view larger versions.
In P(z) plots: Yellow lines mark the cluster redshift z = 0.546,  

Object #693   x,y = (4538, 3460)   RA, Dec = (00:18:30.888, 16:26:03.84) = (4.62870, 16.43440)   BPZ = 0.171 [0.117--3.892]   type = 4.00 (Ell4_A_0)   stellarity = 0.03   chisq2 = 0.40   ODDS = 0.70   z_cluster = 0.546