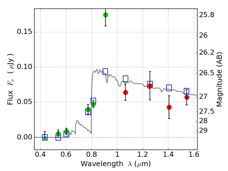
RXC0018+16 IR detection object #647

Color images and BPZ results
Catalog: 647.cat
Black segments are analyzed here.   Roll mouse over color images to view segments.
Best viewed in a wide browser window (1200 pixels or more).   Download SED & P(z) plots to view larger versions.
In P(z) plots: Yellow lines mark the cluster redshift z = 0.546,  

Object #647   x,y = (5187, 3556)   RA, Dec = (00:18:28.176, 16:26:09.60) = (4.61740, 16.43600)   BPZ = 5.568 [5.364--5.710]   type = 11.00 (SB11_A_0_l)   stellarity = 0.81   chisq2 = 4.09   ODDS = 0.99   z_cluster = 0.546