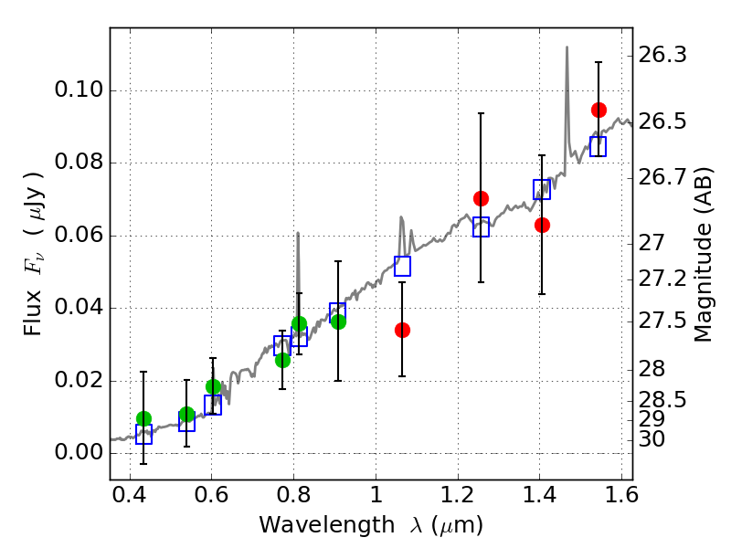
RXC0018+16 IR detection object #490

Color images and BPZ results
Catalog: 490.cat
Black segments are analyzed here.   Roll mouse over color images to view segments.
Best viewed in a wide browser window (1200 pixels or more).   Download SED & P(z) plots to view larger versions.
In P(z) plots: Yellow lines mark the cluster redshift z = 0.546,  

Object #490   x,y = (4221, 3766)   RA, Dec = (00:18:32.208, 16:26:22.20) = (4.63420, 16.43950)   BPZ = 0.623 [0.335--3.350]   type = 6.50 (Scd_B10 - Sbc_B10)   stellarity = 0.00   chisq2 = 0.45   ODDS = 0.07   z_cluster = 0.546