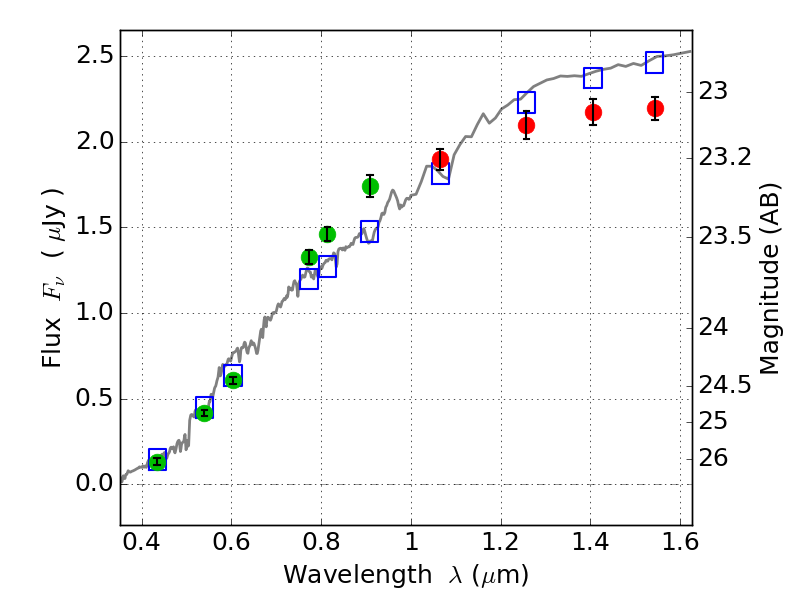
RXC0018+16 IR detection object #413

Color images and BPZ results
Catalog: 413.cat
Black segments are analyzed here.   Roll mouse over color images to view segments.
Best viewed in a wide browser window (1200 pixels or more).   Download SED & P(z) plots to view larger versions.
In P(z) plots: Yellow lines mark the cluster redshift z = 0.546,  

Object #413   x,y = (3401, 3891)   RA, Dec = (00:18:35.616, 16:26:29.76) = (4.64840, 16.44160)   BPZ = 0.267 [0.244--4.219]   type = 4.00 (Ell4_A_0)   stellarity = 0.99   chisq2 = 1.21   ODDS = 0.46   z_cluster = 0.546