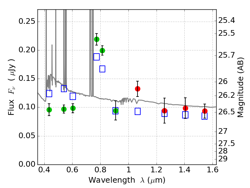
RXC0018+16 IR detection object #199

Color images and BPZ results
Catalog: 199.cat
Black segments are analyzed here.   Roll mouse over color images to view segments.
Best viewed in a wide browser window (1200 pixels or more).   Download SED & P(z) plots to view larger versions.
In P(z) plots: Yellow lines mark the cluster redshift z = 0.546,  

Object #199   x,y = (4663, 4281)   RA, Dec = (00:18:30.360, 16:26:53.16) = (4.62650, 16.44810)   BPZ = 0.109 [0.093--0.173]   type = 11.00 (SB11_A_0_l)   stellarity = 0.19   chisq2 = 3.53   ODDS = 0.93   z_cluster = 0.546