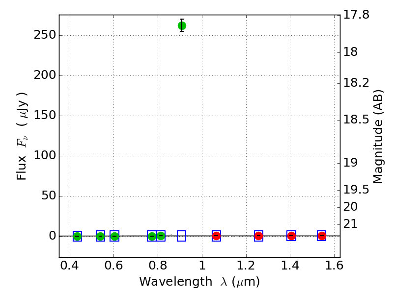
RXC0018+16 ACS+IR detection object #9124

Color images and BPZ results
Catalog: 9124.cat
Black segments are analyzed here.   Roll mouse over color images to view segments.
Best viewed in a wide browser window (1200 pixels or more).   Download SED & P(z) plots to view larger versions.
In P(z) plots: Yellow lines mark the cluster redshift z = 0.546,  

Object #9124   x,y = (4159, 2835)   RA, Dec = (00:18:32.472, 16:25:26.40) = (4.63530, 16.42400)   BPZ = 0.721 [0.384--0.915]   type = 8.20 (SB1_B10 - SB2_B10)   chisq2 = 163.80   ODDS = 0.35   z_cluster = 0.546