RXC0018+16 ACS+IR detection object #9059

Color images and BPZ results
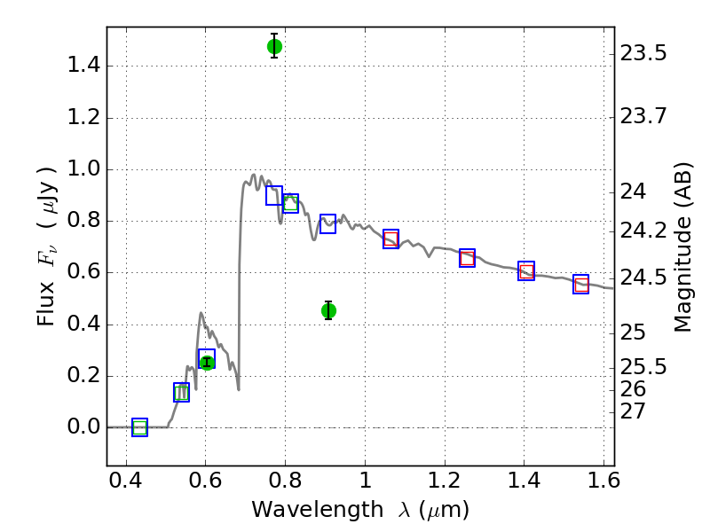
Catalog: 9059.cat
Black segments are analyzed here.   Roll mouse over color images to view segments.
Best viewed in a wide browser window (1200 pixels or more).   Download SED & P(z) plots to view larger versions.
In P(z) plots: Yellow lines mark the cluster redshift z = 0.546,  

Object #9059   x,y = (6385, 2858)   RA, Dec = (00:18:23.184, 16:25:27.84) = (4.59660, 16.42440)   BPZ = 4.632 [4.580--4.682]   type = 11.00 (SB11_A_0_l)   chisq2 = 83.01   ODDS = 1.00   z_cluster = 0.546