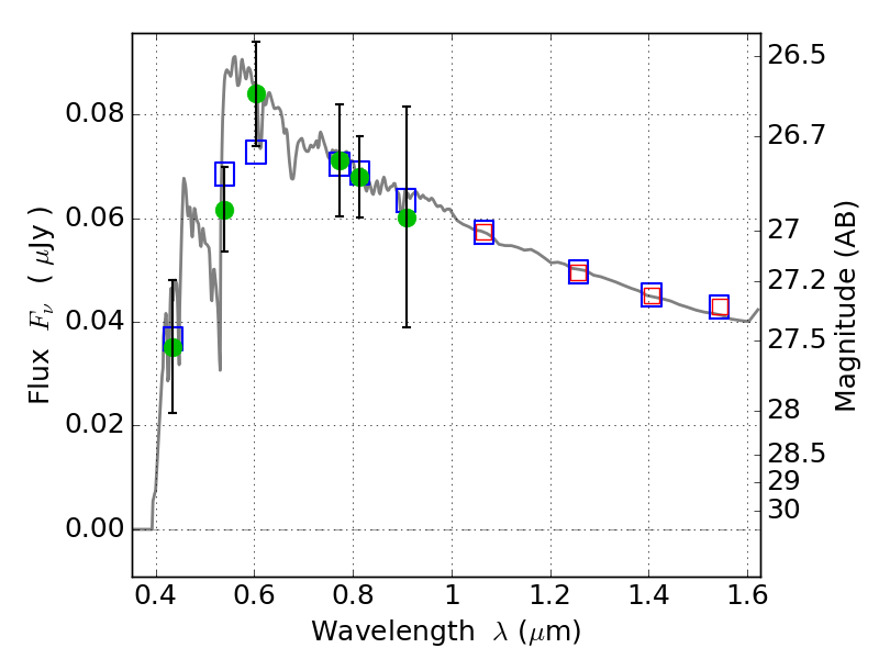
RXC0018+16 ACS+IR detection object #8885

Color images and BPZ results
Catalog: 8885.cat
Black segments are analyzed here.   Roll mouse over color images to view segments.
Best viewed in a wide browser window (1200 pixels or more).   Download SED & P(z) plots to view larger versions.
In P(z) plots: Yellow lines mark the cluster redshift z = 0.546,  

Object #8885   x,y = (5266, 2923)   RA, Dec = (00:18:27.840, 16:25:31.80) = (4.61600, 16.42550)   BPZ = 3.370 [0.176--3.591]   type = 11.00 (SB11_A_0_l)   chisq2 = 0.53   ODDS = 0.27   z_cluster = 0.546