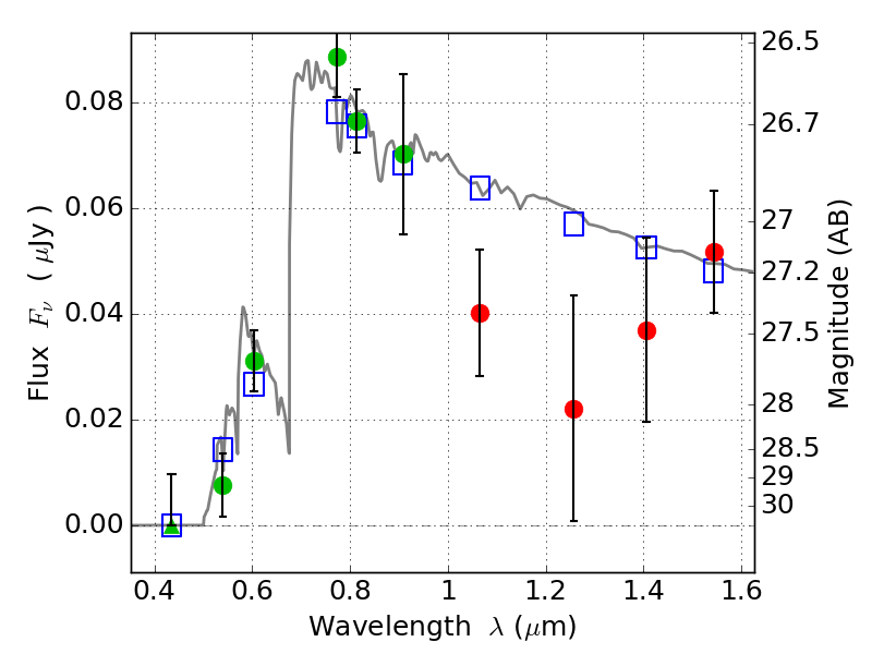
RXC0018+16 ACS+IR detection object #8831

Color images and BPZ results
Catalog: 8831.cat
Black segments are analyzed here.   Roll mouse over color images to view segments.
Best viewed in a wide browser window (1200 pixels or more).   Download SED & P(z) plots to view larger versions.
In P(z) plots: Yellow lines mark the cluster redshift z = 0.546,  

Object #8831   x,y = (4535, 2951)   RA, Dec = (00:18:30.888, 16:25:33.24) = (4.62870, 16.42590)   BPZ = 4.560 [4.383--4.732]   type = 11.00 (SB11_A_0_l)   chisq2 = 1.28   ODDS = 0.99   z_cluster = 0.546