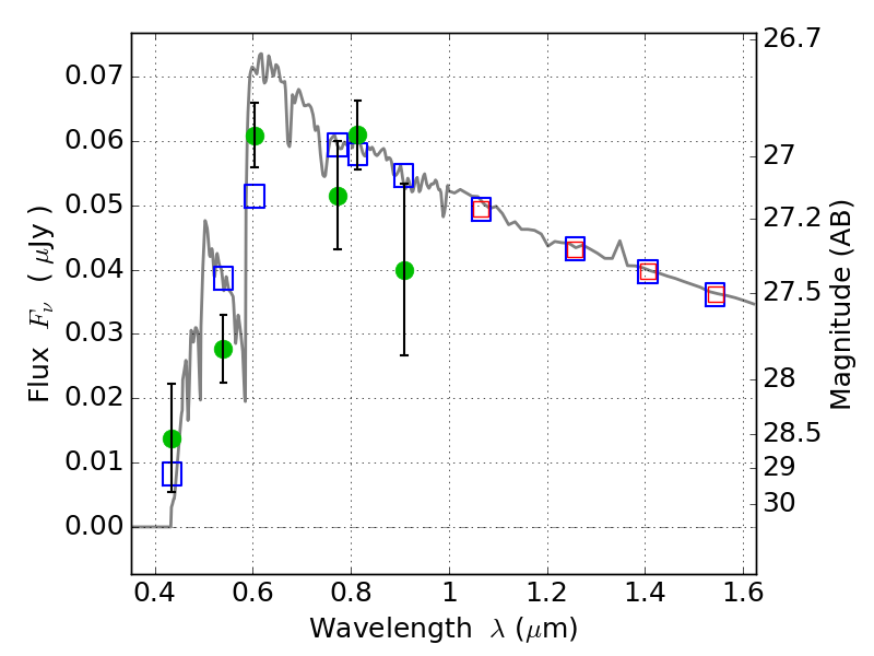
RXC0018+16 ACS+IR detection object #7334

Color images and BPZ results
Catalog: 7334.cat
Black segments are analyzed here.   Roll mouse over color images to view segments.
Best viewed in a wide browser window (1200 pixels or more).   Download SED & P(z) plots to view larger versions.
In P(z) plots: Yellow lines mark the cluster redshift z = 0.546,  

Object #7334   x,y = (5667, 3424)   RA, Dec = (00:18:26.184, 16:26:01.68) = (4.60910, 16.43380)   BPZ = 3.808 [0.393--3.993]   type = 11.00 (SB11_A_0_l)   chisq2 = 2.45   ODDS = 0.76   z_cluster = 0.546