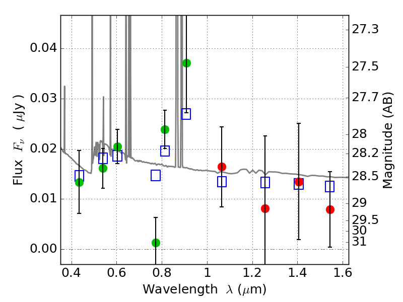
RXC0018+16 ACS+IR detection object #7241

Color images and BPZ results
Catalog: 7241.cat
Black segments are analyzed here.   Roll mouse over color images to view segments.
Best viewed in a wide browser window (1200 pixels or more).   Download SED & P(z) plots to view larger versions.
In P(z) plots: Yellow lines mark the cluster redshift z = 0.546,  

Object #7241   x,y = (5054, 3456)   RA, Dec = (00:18:28.728, 16:26:03.48) = (4.61970, 16.43430)   BPZ = 0.322 [0.289--3.262]   type = 11.00 (SB11_A_0_l)   chisq2 = 1.36   ODDS = 0.71   z_cluster = 0.546