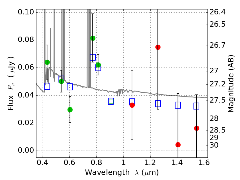
RXC0018+16 ACS+IR detection object #5168

Color images and BPZ results
Catalog: 5168.cat
Black segments are analyzed here.   Roll mouse over color images to view segments.
Best viewed in a wide browser window (1200 pixels or more).   Download SED & P(z) plots to view larger versions.
In P(z) plots: Yellow lines mark the cluster redshift z = 0.546,  

Object #5168   x,y = (2927, 4154)   RA, Dec = (00:18:37.608, 16:26:45.60) = (4.65670, 16.44600)   BPZ = 0.123 [0.088--1.108]   type = 11.00 (SB11_A_0_l)   chisq2 = 1.13   ODDS = 0.27   z_cluster = 0.546