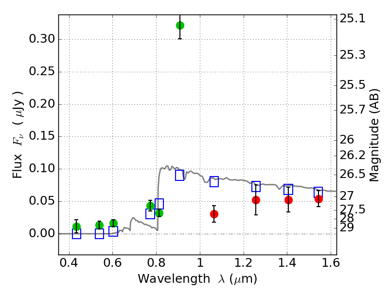
RXC0018+16 ACS+IR detection object #5165

Color images and BPZ results
Catalog: 5165.cat
Black segments are analyzed here.   Roll mouse over color images to view segments.
Best viewed in a wide browser window (1200 pixels or more).   Download SED & P(z) plots to view larger versions.
In P(z) plots: Yellow lines mark the cluster redshift z = 0.546,  

Object #5165   x,y = (4858, 4153)   RA, Dec = (00:18:29.544, 16:26:45.60) = (4.62310, 16.44600)   BPZ = 5.640 [5.379--5.766]   type = 11.00 (SB11_A_0_l)   chisq2 = 18.90   ODDS = 0.98   z_cluster = 0.546