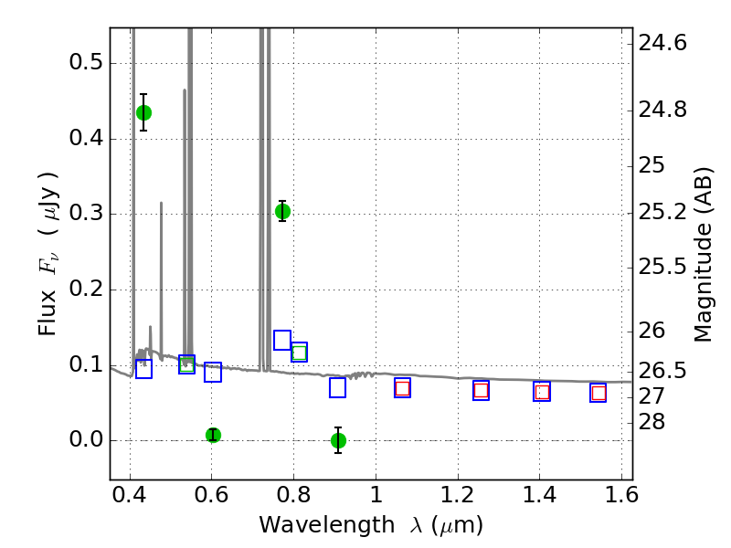
RXC0018+16 ACS+IR detection object #3956

Color images and BPZ results
Catalog: 3956.cat
Black segments are analyzed here.   Roll mouse over color images to view segments.
Best viewed in a wide browser window (1200 pixels or more).   Download SED & P(z) plots to view larger versions.
In P(z) plots: Yellow lines mark the cluster redshift z = 0.546,  

Object #3956   x,y = (5816, 2399)   RA, Dec = (00:18:25.560, 16:25:00.12) = (4.60650, 16.41670)   BPZ = 0.100 [0.083--0.128]   type = 11.00 (SB11_A_0_l)   chisq2 = 350.00   ODDS = 1.00   z_cluster = 0.546