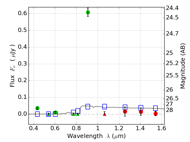
RXC0018+16 ACS+IR detection object #3508

Color images and BPZ results
Catalog: 3508.cat
Black segments are analyzed here.   Roll mouse over color images to view segments.
Best viewed in a wide browser window (1200 pixels or more).   Download SED & P(z) plots to view larger versions.
In P(z) plots: Yellow lines mark the cluster redshift z = 0.546,  

Object #3508   x,y = (4115, 2247)   RA, Dec = (00:18:32.640, 16:24:51.12) = (4.63600, 16.41420)   BPZ = 5.883 [5.719--6.054]   type = 11.00 (SB11_A_0_l)   chisq2 = 83.99   ODDS = 1.00   z_cluster = 0.546