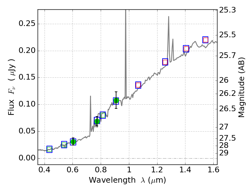
RXC0018+16 ACS+IR detection object #3406

Color images and BPZ results
Catalog: 3406.cat
Black segments are analyzed here.   Roll mouse over color images to view segments.
Best viewed in a wide browser window (1200 pixels or more).   Download SED & P(z) plots to view larger versions.
In P(z) plots: Yellow lines mark the cluster redshift z = 0.546,  

Object #3406   x,y = (6239, 2215)   RA, Dec = (00:18:23.784, 16:24:49.32) = (4.59910, 16.41370)   BPZ = 0.948 [0.403--4.201]   type = 6.80 (Scd_B10 - Sbc_B10)   chisq2 = 0.02   ODDS = 0.21   z_cluster = 0.546