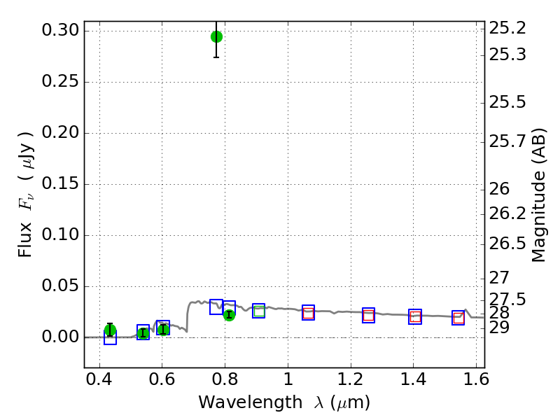
RXC0018+16 ACS+IR detection object #13349

Color images and BPZ results
Catalog: 13349.cat
Black segments are analyzed here.   Roll mouse over color images to view segments.
Best viewed in a wide browser window (1200 pixels or more).   Download SED & P(z) plots to view larger versions.
In P(z) plots: Yellow lines mark the cluster redshift z = 0.546,  

Object #13349   x,y = (5387, 4931)   RA, Dec = (00:18:27.336, 16:27:32.04) = (4.61390, 16.45890)   BPZ = 4.592 [0.485--4.919]   type = 11.00 (SB11_A_0_l)   chisq2 = 80.30   ODDS = 0.44   z_cluster = 0.546