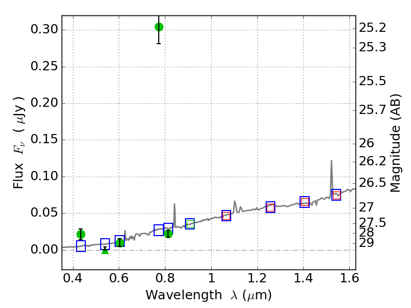
RXC0018+16 ACS+IR detection object #13174

Color images and BPZ results
Catalog: 13174.cat
Black segments are analyzed here.   Roll mouse over color images to view segments.
Best viewed in a wide browser window (1200 pixels or more).   Download SED & P(z) plots to view larger versions.
In P(z) plots: Yellow lines mark the cluster redshift z = 0.546,  

Object #13174   x,y = (5089, 5007)   RA, Dec = (00:18:28.584, 16:27:36.72) = (4.61910, 16.46020)   BPZ = 0.681 [0.477--5.011]   type = 6.60 (Scd_B10 - Sbc_B10)   chisq2 = 68.92   ODDS = 0.15   z_cluster = 0.546